57. The Income Fluctuation Problem I: Basic Model#
In addition to what’s in Anaconda, this lecture will need the following libraries:
!pip install quantecon
57.1. Overview#
In this lecture, we study an optimal savings problem for an infinitely lived consumer—the “common ancestor” described in [Ljungqvist and Sargent, 2018], section 1.3.
This savings problem is often called an income fluctuation problem or a household problem.
It is an essential sub-problem for many representative macroeconomic models
etc.
It is related to the decision problem in the cake eating model but differs in significant ways.
For example,
The choice problem for the agent includes an additive income term that leads to an occasionally binding constraint.
Shocks affecting the budget constraint are correlated, forcing us to track an extra state variable.
To solve the model we will use the endogenous grid method, which we found to be fast and accurate in our investigation of cake eating.
We’ll need the following imports:
import matplotlib.pyplot as plt
import numpy as np
from quantecon import MarkovChain
import jax
import jax.numpy as jnp
from typing import NamedTuple
We will use 64-bit precision in JAX because we want to compare NumPy outputs with JAX outputs — and NumPy arrays default to 64 bits.
jax.config.update("jax_enable_x64", True)
57.1.1. References#
The primary source for the technical details discussed below is [Ma et al., 2020].
Other references include [Deaton, 1991], [Den Haan, 2010], [Kuhn, 2013], [Rabault, 2002], [Reiter, 2009] and [Schechtman and Escudero, 1977].
57.2. The Household Problem#
Let’s write down the model and then discuss how to solve it.
57.2.1. Set-Up#
Consider a household that chooses a state-contingent consumption plan \(\{c_t\}_{t \geq 0}\) to maximize
subject to
Here
\(\beta \in (0,1)\) is the discount factor
\(a_t\) is asset holdings at time \(t\), with borrowing constraint \(a_t \geq 0\)
\(c_t\) is consumption
\(Y_t\) is non-capital income (wages, unemployment compensation, etc.)
\(R := 1 + r\), where \(r > 0\) is the interest rate on savings
The timing here is as follows:
At the start of period \(t\), the household observes current asset holdings \(a_t\).
The household chooses current consumption \(c_t\).
Savings \(s_t := a_t - c_t\) earns interest at rate \(r\).
Labor income \(Y_{t+1}\) is realized and time shifts to \(t+1\).
Non-capital income \(Y_t\) is given by \(Y_t = y(Z_t)\), where
\(\{Z_t\}\) is an exogenous state process and
\(y\) is a given function taking values in \(\mathbb{R}_+\).
As is common in the literature, we take \(\{Z_t\}\) to be a finite state Markov chain taking values in \(\mathsf Z\) with Markov matrix \(\Pi\).
Note
The budget constraint for the household is more often written as \(a_{t+1} + c_t \leq R a_t + Y_t\).
This setup was developed for discretization.
it means that the control is also the next period state \(a_{t+1}\), which can then be restricted to a finite grid.
Computational economists are moving away from raw discretization, which allows the use of alternative timings, such as the one that we adopt.
Our timing turns out to slightly easier in terms of minimizing state variables (because transient components of labor income are automatially integrated out — see this lecture) and studying dynamics.
In practice, either timing can be used when including households in larger models.
We further assume that
\(\beta R < 1\)
\(u\) is smooth, strictly increasing and strictly concave with \(\lim_{c \to 0} u'(c) = \infty\) and \(\lim_{c \to \infty} u'(c) = 0\)
\(y(z) = \exp(z)\)
The asset space is \(\mathbb R_+\) and the state is the pair \((a,z) \in \mathsf S := \mathbb R_+ \times \mathsf Z\).
A feasible consumption path from \((a,z) \in \mathsf S\) is a consumption sequence \(\{c_t\}\) such that \(\{c_t\}\) and its induced asset path \(\{a_t\}\) satisfy
\((a_0, z_0) = (a, z)\)
the feasibility constraints in (57.1), and
adaptedness, which means that \(c_t\) is a function of random outcomes up to date \(t\) but not after.
The meaning of the third point is just that consumption at time \(t\) cannot be a function of outcomes are yet to be observed.
In fact, for this problem, consumption can be chosen optimally by taking it to be contingent only on the current state.
Optimality is defined below.
57.2.2. Value Function and Euler Equation#
The value function \(V \colon \mathsf S \to \mathbb{R}\) is defined by
where the maximization is overall feasible consumption paths from \((a,z)\).
An optimal consumption path from \((a,z)\) is a feasible consumption path from \((a,z)\) that maximizes (57.2).
To pin down such paths we can use a version of the Euler equation, which in the present setting is
with
When \(c_t\) hits the upper bound \(a_t\), the strict inequality \(u' (c_t) > \beta R \, \mathbb{E}_t u'(c_{t+1})\) can occur because \(c_t\) cannot increase sufficiently to attain equality.
The lower boundary case \(c_t = 0\) never arises along the optimal path because \(u'(0) = \infty\).
57.2.3. Optimality Results#
As shown in [Ma et al., 2020],
For each \((a,z) \in \mathsf S\), a unique optimal consumption path from \((a,z)\) exists
This path is the unique feasible path from \((a,z)\) satisfying the Euler equations (57.3)-(57.4) and the transversality condition
Moreover, there exists an optimal consumption policy \(\sigma^* \colon \mathsf S \to \mathbb R_+\) such that the path from \((a,z)\) generated by
satisfies both the Euler equations (57.3)-(57.4) and (57.5), and hence is the unique optimal path from \((a,z)\).
Thus, to solve the optimization problem, we need to compute the policy \(\sigma^*\).
57.3. Computation#
We solve for the optimal consumption policy using time iteration and the endogenous grid method.
Readers unfamiliar with the endogenous grid method should review the discussion in Cake Eating V: The Endogenous Grid Method.
57.3.1. Solution Method#
We rewrite (57.4) to make it a statement about functions rather than random variables:
Here
\((u' \circ \sigma)(s) := u'(\sigma(s))\),
primes indicate next period states (as well as derivatives), and
\(\sigma\) is the unknown function.
The equality (57.6) holds at all interior choices, meaning \(\sigma(a, z) < a\).
We aim to find a fixed point \(\sigma\) of (57.6).
To do so we use the EGM.
Below we use the relationships \(a_t = c_t + s_t\) and \(a_{t+1} = R s_t + y(z_{t+1})\).
We begin with an exogenous savings grid \(s_0 < s_1 < \cdots < s_m\) with \(s_0 = 0\).
We fix a current guess of the policy function \(\sigma\).
For each exogenous savings level \(s_i\) with \(i \geq 1\) and current state \(z_j\), we set
The Euler equation holds here because \(i \geq 1\) implies \(s_i > 0\) and hence consumption is interior.
For the boundary case \(s_0 = 0\) we set
We then obtain a corresponding endogenous grid of current assets via
Notice that, for each \(j\), we have \(a^e_{0j} = c_{0j} = 0\).
This anchors the interpolation at the correct value at the origin, since, without borrowing, consumption is zero when assets are zero.
Our next guess of the policy function, which we write as \(K\sigma\), is the linear interpolation of the interpolation points
for each \(j\).
(The number of one-dimensional linear interpolations is equal to the size of \(\mathsf Z\).)
57.4. NumPy Implementation#
In this section we’ll code up a NumPy version of the code that aims only for clarity, rather than efficiency.
Once we have it working, we’ll produce a JAX version that’s far more efficient and check that we obtain the same results.
We use the CRRA utility specification
Here are the utility-related functions:
u_prime = lambda c, γ: c**(-γ)
u_prime_inv = lambda c, γ: c**(-1/γ)
57.4.1. Set Up#
Here we build a class called IFPNumPy that stores the model primitives.
The exogenous state process \(\{Z_t\}\) defaults to a two-state Markov chain with transition matrix \(\Pi\).
class IFPNumPy(NamedTuple):
R: float # Gross interest rate R = 1 + r
β: float # Discount factor
γ: float # Preference parameter
Π: np.ndarray # Markov matrix for exogenous shock
z_grid: np.ndarray # Markov state values for Z_t
s: np.ndarray # Exogenous savings grid
def create_ifp(r=0.01,
β=0.96,
γ=1.5,
Π=((0.6, 0.4),
(0.05, 0.95)),
z_grid=(-10.0, np.log(2.0)),
savings_grid_max=16,
savings_grid_size=50):
s = np.linspace(0, savings_grid_max, savings_grid_size)
Π, z_grid = np.array(Π), np.array(z_grid)
R = 1 + r
assert R * β < 1, "Stability condition violated."
return IFPNumPy(R, β, γ, Π, z_grid, s)
# Set y(z) = exp(z)
y = np.exp
57.4.2. Solver#
Here is the operator \(K\) that transforms current guess \(\sigma\) into next period guess \(K\sigma\).
In practice, it takes in
a guess of optimal consumption values \(c_{ij}\), stored as
c_valsand a corresponding set of endogenous grid points \(a^e_{ij}\), stored as
ae_vals
These are converted into a consumption policy \(a \mapsto \sigma(a, z_j)\) by linear interpolation of \((a^e_{ij}, c_{ij})\) over \(i\) for each \(j\).
def K_numpy(
c_vals: np.ndarray,
ae_vals: np.ndarray,
ifp_numpy: IFPNumPy
) -> np.ndarray:
"""
The Euler equation operator for the IFP model using the
Endogenous Grid Method.
This operator implements one iteration of the EGM algorithm to
update the consumption policy function.
"""
R, β, γ, Π, z_grid, s = ifp_numpy
n_a = len(s)
n_z = len(z_grid)
new_c_vals = np.zeros_like(c_vals)
for i in range(1, n_a): # Start from 1 for positive savings levels
for j in range(n_z):
# Compute Σ_z' u'(σ(R s_i + y(z'), z')) Π[z_j, z']
expectation = 0.0
for k in range(n_z):
# Set up the function a -> σ(a, z_k)
σ = lambda a: np.interp(a, ae_vals[:, k], c_vals[:, k])
next_c = σ(R * s[i] + y(z_grid[k]))
expectation += u_prime(next_c, γ) * Π[j, k]
# Calculate updated c_{ij} values
new_c_vals[i, j] = u_prime_inv(β * R * expectation, γ)
new_ae_vals = new_c_vals + s[:, None]
return new_c_vals, new_ae_vals
To solve the model we use a simple while loop.
def solve_model_numpy(
ifp_numpy: IFPNumPy,
c_vals: np.ndarray,
tol: float = 1e-5,
max_iter: int = 1_000
) -> np.ndarray:
"""
Solve the model using time iteration with EGM.
"""
i = 0
ae_vals = c_vals # Initial condition
error = tol + 1
while error > tol and i < max_iter:
new_c_vals, new_ae_vals = K_numpy(c_vals, ae_vals, ifp_numpy)
error = np.max(np.abs(new_c_vals - c_vals))
i = i + 1
c_vals, ae_vals = new_c_vals, new_ae_vals
return c_vals, ae_vals
Let’s road test the EGM code.
ifp_numpy = create_ifp()
R, β, γ, Π, z_grid, s = ifp_numpy
initial_c_vals = s[:, None] * np.ones(len(z_grid))
c_vals, ae_vals = solve_model_numpy(ifp_numpy, initial_c_vals)
Here’s a plot of the optimal consumption policy for each \(z\) state
fig, ax = plt.subplots()
ax.plot(ae_vals[:, 0], c_vals[:, 0], label='bad state')
ax.plot(ae_vals[:, 1], c_vals[:, 1], label='good state')
ax.set(xlabel='assets', ylabel='consumption')
ax.legend()
plt.show()
57.5. JAX Implementation#
Now we write a more efficient JAX version.
57.5.1. Set Up#
We start with a class called IFP that stores the model primitives.
class IFP(NamedTuple):
R: float # Gross interest rate R = 1 + r
β: float # Discount factor
γ: float # Preference parameter
Π: jnp.ndarray # Markov matrix for exogenous shock
z_grid: jnp.ndarray # Markov state values for Z_t
s: jnp.ndarray # Exogenous savings grid
def create_ifp(r=0.01,
β=0.96,
γ=1.5,
Π=((0.6, 0.4),
(0.05, 0.95)),
z_grid=(-10.0, jnp.log(2.0)),
savings_grid_max=16,
savings_grid_size=50):
s = jnp.linspace(0, savings_grid_max, savings_grid_size)
Π, z_grid = jnp.array(Π), jnp.array(z_grid)
R = 1 + r
assert R * β < 1, "Stability condition violated."
return IFP(R, β, γ, Π, z_grid, s)
# Set y(z) = exp(z)
y = jnp.exp
57.5.2. Solver#
Here is the operator \(K\) that transforms current guess \(\sigma\) into next period guess \(K\sigma\).
def K(
c_vals: jnp.ndarray,
ae_vals: jnp.ndarray,
ifp: IFP
) -> jnp.ndarray:
"""
The Euler equation operator for the IFP model using the
Endogenous Grid Method.
This operator implements one iteration of the EGM algorithm to
update the consumption policy function.
"""
R, β, γ, Π, z_grid, s = ifp
n_a = len(s)
n_z = len(z_grid)
# Function to compute consumption for one (i, j) pair where i >= 1
def compute_c_ij(i, j):
# For each k, compute u'(σ(R * s_i + y(z_k), z_k))
def mu(k):
next_a = R * s[i] + y(z_grid[k])
# Interpolate to get consumption at next_a in state k
next_c = jnp.interp(next_a, ae_vals[:, k], c_vals[:, k])
return u_prime(next_c, γ)
# Compute u'(σ(R * s_i + y(z_k), z_k)) at all k via vmap
mu_vectorized = jax.vmap(mu)
marginal_utils = mu_vectorized(jnp.arange(n_z))
# Compute expectation: Σ_k u'(σ(...)) * Π[j, k]
expectation = jnp.sum(marginal_utils * Π[j, :])
# Invert to get consumption
return u_prime_inv(β * R * expectation, γ)
# Set up index grids for vmap computation of all c_{ij}
i_grid = jnp.arange(1, n_a)
j_grid = jnp.arange(n_z)
# vmap over j for each i
compute_c_i = jax.vmap(compute_c_ij, in_axes=(None, 0))
# vmap over i
compute_c = jax.vmap(lambda i: compute_c_i(i, j_grid))
# Compute consumption for i >= 1
new_c_interior = compute_c(i_grid) # Shape: (n_a-1, n_z)
# For i = 0, set consumption to 0
new_c_boundary = jnp.zeros((1, n_z))
# Concatenate boundary and interior
new_c_vals = jnp.concatenate([new_c_boundary, new_c_interior], axis=0)
# Compute endogenous asset grid: a^e_{ij} = c_{ij} + s_i
new_ae_vals = new_c_vals + s[:, None]
return new_c_vals, new_ae_vals
Here’s a jit-accelerated iterative routine to solve the model using this operator.
@jax.jit
def solve_model(ifp: IFP,
c_vals: jnp.ndarray,
tol: float = 1e-5,
max_iter: int = 1000) -> jnp.ndarray:
"""
Solve the model using time iteration with EGM.
"""
def condition(loop_state):
c_vals, ae_vals, i, error = loop_state
return (error > tol) & (i < max_iter)
def body(loop_state):
c_vals, ae_vals, i, error = loop_state
new_c_vals, new_ae_vals = K(c_vals, ae_vals, ifp)
error = jnp.max(jnp.abs(new_c_vals - c_vals))
i += 1
return new_c_vals, new_ae_vals, i, error
ae_vals = c_vals
initial_state = (c_vals, ae_vals, 0, tol + 1)
final_loop_state = jax.lax.while_loop(condition, body, initial_state)
c_vals, ae_vals, i, error = final_loop_state
return c_vals, ae_vals
57.5.3. Test run#
Let’s road test the EGM code.
ifp = create_ifp()
R, β, γ, Π, z_grid, s = ifp
c_vals_init = s[:, None] * jnp.ones(len(z_grid))
c_vals_jax, ae_vals_jax = solve_model(ifp, c_vals_init)
To verify the correctness of our JAX implementation, let’s compare it with the NumPy version we developed earlier.
# Compare the results
max_c_diff = np.max(np.abs(np.array(c_vals) - c_vals_jax))
max_ae_diff = np.max(np.abs(np.array(ae_vals) - ae_vals_jax))
print(f"Maximum difference in consumption policy: {max_c_diff:.2e}")
print(f"Maximum difference in asset grid: {max_ae_diff:.2e}")
Maximum difference in consumption policy: 1.33e-15
Maximum difference in asset grid: 3.55e-15
The maximum differences are on the order of \(10^{-15}\) or smaller, which is essentially machine precision for 64-bit floating point arithmetic.
This confirms that our JAX implementation produces identical results to the NumPy version, validating the correctness of our vectorized JAX code.
Here’s a plot of the optimal policy for each \(z\) state
fig, ax = plt.subplots()
ax.plot(ae_vals[:, 0], c_vals[:, 0], label='bad state')
ax.plot(ae_vals[:, 1], c_vals[:, 1], label='good state')
ax.set(xlabel='assets', ylabel='consumption')
ax.legend()
plt.show()
57.5.4. Dynamics#
To begin to understand the long run asset levels held by households under the default parameters, let’s look at the 45 degree diagram showing the law of motion for assets under the optimal consumption policy.
fig, ax = plt.subplots()
for k, label in zip((0, 1), ('low income', 'high income')):
# Interpolate consumption policy on the savings grid
c_on_grid = jnp.interp(s, ae_vals[:, k], c_vals[:, k])
ax.plot(s, R * (s - c_on_grid) + y(z_grid[k]) , label=label)
ax.plot(s, s, 'k--')
ax.set(xlabel='current assets', ylabel='next period assets')
ax.legend()
plt.show()
The unbroken lines show the update function for assets at each \(z\), which is
where we plot this for a particular realization \(z' = z\).
The dashed line is the 45 degree line.
The figure suggests that the dynamics will be stable — assets do not diverge even in the highest state.
In fact there is a unique stationary distribution of assets that we can calculate by simulation – we examine this below.
Can be proved via theorem 2 of [Hopenhayn and Prescott, 1992].
It represents the long run dispersion of assets across households when households have idiosyncratic shocks.
57.5.5. A Sanity Check#
One way to check our results is to
set labor income to zero in each state and
set the gross interest rate \(R\) to unity.
In this case, our income fluctuation problem is just a CRRA cake eating problem.
Then the value function and optimal consumption policy are given by
def c_star(x, β, γ):
return (1 - β ** (1/γ)) * x
def v_star(x, β, γ):
return (1 - β**(1 / γ))**(-γ) * (x**(1-γ) / (1-γ))
Let’s see if we match up:
ifp_cake_eating = create_ifp(r=0.0, z_grid=(-jnp.inf, -jnp.inf))
R, β, γ, Π, z_grid, s = ifp_cake_eating
c_vals_init = s[:, None] * jnp.ones(len(z_grid))
c_vals, ae_vals = solve_model(ifp_cake_eating, c_vals_init)
fig, ax = plt.subplots()
ax.plot(ae_vals[:, 0], c_vals[:, 0], label='numerical')
ax.plot(ae_vals[:, 0],
c_star(ae_vals[:, 0], ifp_cake_eating.β, ifp_cake_eating.γ),
'--', label='analytical')
ax.set(xlabel='assets', ylabel='consumption')
ax.legend()
plt.show()
This looks pretty good.
57.6. Exercises#
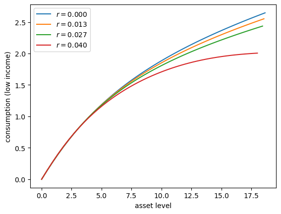
Exercise 57.1
Let’s consider how the interest rate affects consumption.
Step
rthroughnp.linspace(0, 0.016, 4).Other than
r, hold all parameters at their default values.Plot consumption against assets for income shock fixed at the smallest value.
Your figure should show that, for this model, higher interest rates suppress consumption (because they encourage more savings).
Solution
Here’s one solution:
# With β=0.96, we need R*β < 1, so r < 0.0416
r_vals = np.linspace(0, 0.04, 4)
fig, ax = plt.subplots()
for r_val in r_vals:
ifp = create_ifp(r=r_val)
R, β, γ, Π, z_grid, s = ifp
c_vals_init = s[:, None] * jnp.ones(len(z_grid))
c_vals, ae_vals = solve_model(ifp, c_vals_init)
ax.plot(ae_vals[:, 0], c_vals[:, 0], label=f'$r = {r_val:.3f}$')
ax.set(xlabel='asset level', ylabel='consumption (low income)')
ax.legend()
plt.show()
Exercise 57.2
Let’s approximate the stationary distribution by simulation.
Run a large number of households forward for \(T\) periods and then histogram the cross-sectional distribution of assets.
Set num_households=50_000, T=500.
Solution
First we write a function to simulate many households in parallel using JAX.
def compute_asset_stationary(
ifp, c_vals, ae_vals, num_households=50_000, T=500, seed=1234
):
"""
Simulates num_households households for T periods to approximate
the stationary distribution of assets.
By ergodicity, simulating many households for moderate time is equivalent to
simulating one household for very long time, but parallelizes better.
ifp is an instance of IFP
c_vals, ae_vals are the consumption policy and endogenous grid from
solve_model
"""
R, β, γ, Π, z_grid, s = ifp
n_z = len(z_grid)
# Create interpolation function for consumption policy
# Interpolate on the endogenous grid
σ = lambda a, z_idx: jnp.interp(a, ae_vals[:, z_idx], c_vals[:, z_idx])
# Simulate one household forward
def simulate_one_household(key):
# Random initial state (a, z)
key1, key2, key3 = jax.random.split(key, 3)
z_idx = jax.random.choice(key1, n_z)
# Start with random assets drawn from [0, savings_grid_max/2]
a = jax.random.uniform(key3, minval=0.0, maxval=s[-1]/2)
# Simulate forward T periods
def step(state, key_t):
a, z_idx = state
# Consume based on current state
c = σ(a, z_idx)
# Draw next shock
z_next_idx = jax.random.choice(key_t, n_z, p=Π[z_idx])
# Update assets: a' = R*(a - c) + Y'
z_next = z_grid[z_next_idx]
a_next = R * (a - c) + y(z_next)
return (a_next, z_next_idx), None
keys = jax.random.split(key2, T)
initial_state = a, z_idx
final_state, _ = jax.lax.scan(step, initial_state, keys)
a_final, _ = final_state
return a_final
# Vectorize over many households
key = jax.random.PRNGKey(seed)
keys = jax.random.split(key, num_households)
sim_all_households = jax.vmap(simulate_one_household)
assets = sim_all_households(keys)
return np.array(assets)
Now we call the function, generate the asset distribution and histogram it:
ifp = create_ifp()
R, β, γ, Π, z_grid, s = ifp
c_vals_init = s[:, None] * jnp.ones(len(z_grid))
c_vals, ae_vals = solve_model(ifp, c_vals_init)
assets = compute_asset_stationary(ifp, c_vals, ae_vals)
fig, ax = plt.subplots()
ax.hist(assets, bins=20, alpha=0.5, density=True)
ax.set(xlabel='assets')
plt.show()
The shape of the asset distribution is unrealistic.
Here it is left skewed when in reality it has a long right tail.
In a subsequent lecture we will rectify this by adding more realistic features to the model.
Exercise 57.3
Following on from exercises 1 and 2, let’s look at how savings and aggregate asset holdings vary with the interest rate
Note
[Ljungqvist and Sargent, 2018] section 18.6 can be consulted for more background on the topic treated in this exercise.
For a given parameterization of the model, the mean of the stationary distribution of assets can be interpreted as aggregate capital in an economy with a unit mass of ex-ante identical households facing idiosyncratic shocks.
Your task is to investigate how this measure of aggregate capital varies with the interest rate.
Following tradition, put the price (i.e., interest rate) on the vertical axis.
On the horizontal axis put aggregate capital, computed as the mean of the stationary distribution given the interest rate.
Use
M = 12
r_vals = np.linspace(0, 0.015, M)
Solution
Here’s one solution
fig, ax = plt.subplots()
asset_mean = []
for r in r_vals:
print(f'Solving model at r = {r}')
ifp = create_ifp(r=r)
R, β, γ, Π, z_grid, s = ifp
c_vals_init = s[:, None] * jnp.ones(len(z_grid))
c_vals, ae_vals = solve_model(ifp, c_vals_init)
assets = compute_asset_stationary(ifp, c_vals, ae_vals, num_households=10_000, T=500)
mean = np.mean(assets)
asset_mean.append(mean)
print(f' Mean assets: {mean:.4f}')
ax.plot(r_vals, asset_mean)
ax.set(xlabel='interest rate', ylabel='capital')
plt.show()
Solving model at r = 0.0
Mean assets: 6.5712
Solving model at r = 0.0013636363636363635
Mean assets: 6.6597
Solving model at r = 0.002727272727272727
Mean assets: 6.7521
Solving model at r = 0.00409090909090909
Mean assets: 6.8489
Solving model at r = 0.005454545454545454
Mean assets: 6.9512
Solving model at r = 0.006818181818181818
Mean assets: 7.0584
Solving model at r = 0.00818181818181818
Mean assets: 7.1721
Solving model at r = 0.009545454545454544
Mean assets: 7.2919
Solving model at r = 0.010909090909090908
Mean assets: 7.4194
Solving model at r = 0.012272727272727272
Mean assets: 7.5545
Solving model at r = 0.013636363636363636
Mean assets: 7.6987
Solving model at r = 0.015
Mean assets: 7.8529
As expected, aggregate savings increases with the interest rate.